-
Notifications
You must be signed in to change notification settings - Fork 45
Description
仰望星空的人,不应该被嘲笑
题目描述
给定一个链表,返回链表开始入环的第一个节点。 如果链表无环,则返回 null。
为了表示给定链表中的环,我们使用整数 pos 来表示链表尾连接到链表中的位置(索引从 0 开始)。 如果 pos 是 -1,则在该链表中没有环。注意,pos 仅仅是用于标识环的情况,并不会作为参数传递到函数中。
说明:不允许修改给定的链表。
进阶:
你是否可以不用额外空间解决此题?
示例 1:
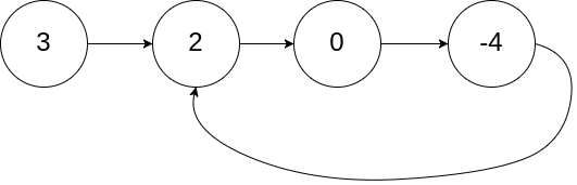
输入:head = [3,2,0,-4], pos = 1
输出:返回索引为 1 的链表节点
解释:链表中有一个环,其尾部连接到第二个节点。示例 2:
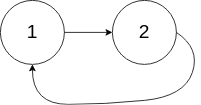
输入:head = [1,2], pos = 0
输出:返回索引为 0 的链表节点
解释:链表中有一个环,其尾部连接到第一个节点。示例 3:
输入:head = [1], pos = -1
输出:返回 null
解释:链表中没有环。提示:
- 链表中节点的数目范围在范围
[0, 104]内 -10^5 <= Node.val <= 10^5- pos 的值为 -1 或者链表中的一个有效索引
来源:力扣(LeetCode)
链接:https://leetcode-cn.com/problems/linked-list-cycle-ii
著作权归领扣网络所有。商业转载请联系官方授权,非商业转载请注明出处。
解题思路
两个快慢指针,从头节点出发,如果链表有环,快指针肯定可以在环内和慢指针相遇。没有环就不可能再相遇,相遇必在环内。
假设相遇时快指针已经绕环 n 次,它走的距离:D+n(S1+S2)+S1D+n(S1+S2)+S1
因为快指针的速度是 2 倍,所以相同时间走的距离也是 2 倍:
D+n(S1+S2)+S1 = 2(D+S1)
求解得到:(n-1)S1+ nS2=D
我们不关心在相遇时快指针已经绕了几次环,我们取 n = 1 ,消掉了 S1:
D=S2
那么,当快慢指针第一次相遇时,将快指针放回到头节点,由于 D=s2,那么我们快慢指针一起走,都走1步,它们必定会走到入环点,然后相遇,此时就可返回对应指针下标。
/**
* Definition for singly-linked list.
* function ListNode(val) {
* this.val = val;
* this.next = null;
* }
*/
/**
* @param {ListNode} head
* @return {ListNode}
*/
var detectCycle = function(head) {
let fast = head, low = head; // 首先,都从头节点出现
while(fast){ // 确保存在环
if(fast.next == null) return null; // fast.next 为null表示无环
low = low.next; // 慢指针走一步
fast = fast.next.next; // 快指针走两步
if(low == fast){ // 初次相遇
fast = head; // 快指针回到头节点
while(true){
if(fast == low){
return low;
}
fast = fast.next; // 快慢指针一起走
low = low.next;
}
}
}
return null;
};参考 笨猪爆破组 图解
最后
文章产出不易,还望各位小伙伴们支持一波!
往期精选:
leetcode-javascript:LeetCode 力扣的 JavaScript 解题仓库,前端刷题路线(思维导图)
小伙伴们可以在Issues中提交自己的解题代码,🤝 欢迎Contributing,可打卡刷题,Give a ⭐️ if this project helped you!
访问超逸の博客,方便小伙伴阅读玩耍~
学如逆水行舟,不进则退




