-
Get the released version from CRAN:
install.packages("ggtrendline") -
Or the development version from Github:
install.packages("devtools") devtools::install_github("PhDMeiwp/ggtrendline@master", force = TRUE) library(ggtrendline)
library(ggplot2)
library(ggtrendline)
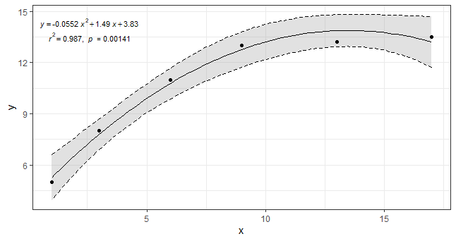
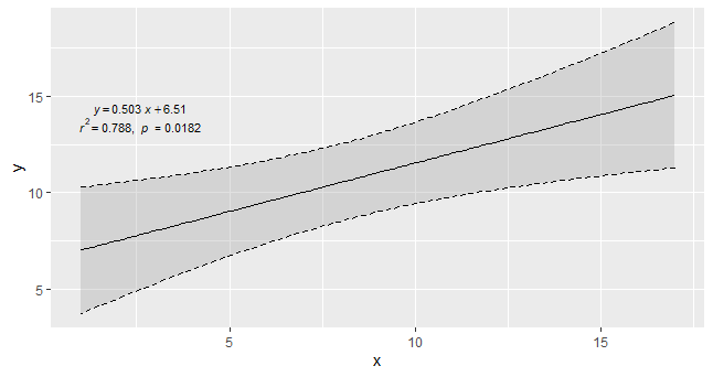
x <- c(1, 3, 6, 9, 13, 17)
y <- c(5, 8, 11, 13, 13.2, 13.5)
ggtrendline(x, y, model = "line2P")
ggtrendline(x, y, model = "line3P") + geom_point(aes(x, y)) + theme_bw()
ggtrendline(x, y, model = "log2P", CI.fill = NA) +
geom_point(aes(x, y))+ theme_classic()
ggtrendline(x, y, model = "exp2P", linecolor = "blue", linetype = 1, linewidth = 1) +
geom_point(aes(x, y), color = "blue", shape = 1, size = 3)
ggtrendline(x, y, model = "exp3P", CI.level = 0.99,
CI.fill = "red", CI.alpha = 0.1, CI.color = NA, CI.lty = 2, CI.lwd = 1.5) +
geom_point(aes(x, y))
library(ggplot2)
library(ggtrendline)
data("iris")
x <- iris$Petal.Width
y <- iris$Petal.Length
group <- iris$Species
ggtrendline(x,y,"exp3P") + geom_point(aes(x,y,color=group))
The 'ggtrendline' package is developed for adding trendline and confidence interval of linear or nonlinear regression model, and showing equation, R square, and P value to 'ggplot' as simple as possible.
For a general overview of the methods used in this package,
see Ritz and Streibig (2008) doi:10.1007/978-0-387-09616-2 and
Greenwell and Schubert Kabban (2014) doi:10.32614/RJ-2014-009.
The built-in 'ggtrendline()' function includes the following models:
"line2P", formula as: y = a*x + b;
"line3P", y = a*x^2 + b*x + c;
"log2P" , y = a*ln(x) + b;
"exp2P", y = a*exp(b*x);
"exp3P", y = a*exp(b*x) + c;
"power2P", y = a*x^b;
"power3P", y = a*x^b + c.
The built-in 'stat_eq()' and 'stat_rrp()' functions can be used separately, i.e., not together with 'ggtrendline()' function.
To see more details, you can run the following R code if you have the "ggtrendline" package installed:
library(ggtrendline)
?ggtrendline
?stat_eq
?stat_rrp
- Bugs and feature requests can be filed to https://github.com/PhDMeiwp/ggtrendline/issues.
- BTW, Pull requests are also welcome.
We would like to express our special thanks to Uwe Ligges, Gregor Seyer, and CRAN team for their valuable comments to the 'ggtrendline' package.







