Open
Conversation
This file contains hidden or bidirectional Unicode text that may be interpreted or compiled differently than what appears below. To review, open the file in an editor that reveals hidden Unicode characters.
Learn more about bidirectional Unicode characters
Sign up for free
to join this conversation on GitHub.
Already have an account?
Sign in to comment
Add this suggestion to a batch that can be applied as a single commit.This suggestion is invalid because no changes were made to the code.Suggestions cannot be applied while the pull request is closed.Suggestions cannot be applied while viewing a subset of changes.Only one suggestion per line can be applied in a batch.Add this suggestion to a batch that can be applied as a single commit.Applying suggestions on deleted lines is not supported.You must change the existing code in this line in order to create a valid suggestion.Outdated suggestions cannot be applied.This suggestion has been applied or marked resolved.Suggestions cannot be applied from pending reviews.Suggestions cannot be applied on multi-line comments.Suggestions cannot be applied while the pull request is queued to merge.Suggestion cannot be applied right now. Please check back later.
Problem: When using an LXCat file with ONLY an elastic collision the solver will error out on the
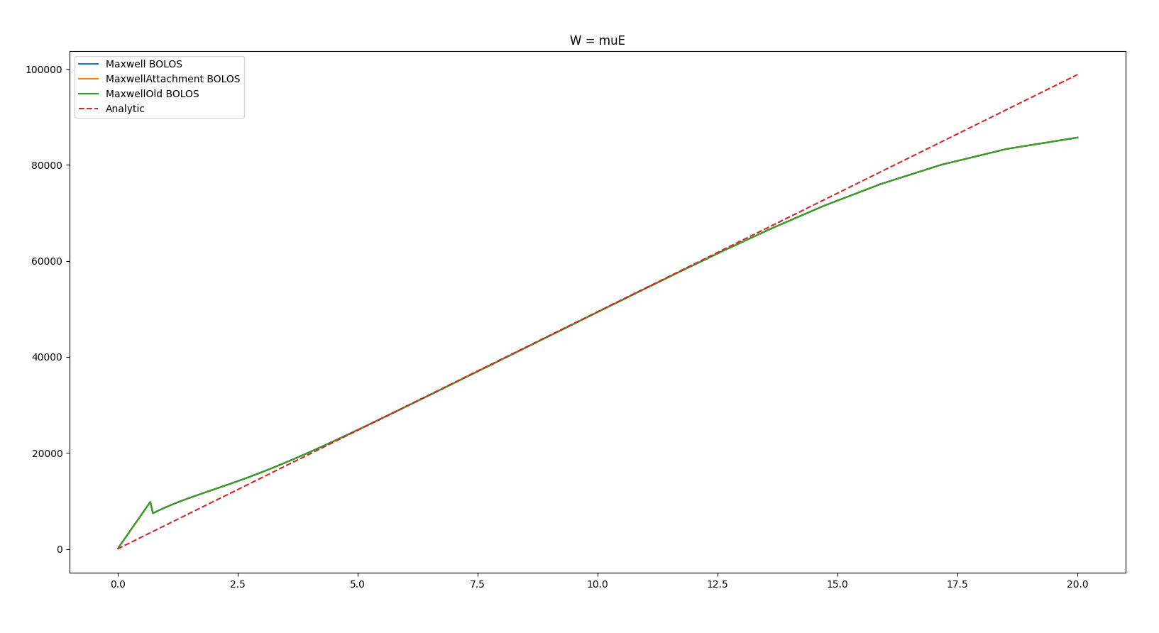
hstackfunction in_PQ. This is due to the fact that sometimes_PQis called without setting the parameterreactions. This parameter will then be set to inelastic collisions, but no check has been made for the case when there are no inelastic collisions.Following plots show the electron velocity W, reduced diffusion coeff, and mean energy of Maxwell type testsystem (constant momentum transfer collision frequency).
The labels are:
Maxwell = The changes proposed in this MR with an LXCat file containing ONLY the elastic collision cs
MaxwellAttachment = The changes proposed in this MR with an LXCat file containing BOTH elastic collision cs AND 0 attachment cs to add a non participating inelastic process.
MaxwellOld = The previous version with an LXCat file containing BOTH elastic collision cs AND 0 attachment cs to add a non participating inelastic process.
The results show that all 3 methods produce the exact same results so that the proposed changes in this MR do not change results, but only adds flexibility by allowing the use of a single elastic cs and no inelastic cs.