Создание приложения для распознавания дорожных знаков РФ
- Приложение может быть использовано службами по контролю безопасности дорожного движения для анализа ДТП
- Приложение может быть использовано для помощи слабовидящим водителям
- Приложение может быть использовано для беспилотного движения
- Приложение может быть использовано для снижекния количества ДТП
- на данном этапе планируется демонстрация работы в качестве веб-сервиса, поэтому невозможна работа в режиме реального времени
- не все знаки могут быть качественно распознаны из-за малой представленности некоторых знаков в обучающих данных
- распознаются только знаки РФ
- погодные условия и условия освещенности (в меньшей мере, т. к. в обучающем датасете были представлены изображения при разных погодных условиях, в разное время года и суток)
- Выбор датасета - https://www.kaggle.com/datasets/watchman/rtsd-dataset/data
- Конвертация аннотаций COCO в аннотации YOLO.
- Анализ датасета.
- Отбор классов, достаточно представленных в датасете.
- Проведение экспериментов.
- Обучение модели.
- Создание приложения для получения предсказаний модели на видео.
Было обученно две модели:
- 8 классов по типам дорожных знаков - Демонстрация
- 29 классов для детекции 29 различных дорожных знаков - Демонстрация Выбор 29 классов обусловлен представленностью классов в датасете для обучения модели. Классы, которые представлены слишком малым количеством изображений (< 700) были отфильтрованы. Эксперимент без удаления низкочастотных классов привел к снижению целевых метрик
Линтер: black
| Модель | Датасет | Параметры | Метрики |
|---|---|---|---|
| yolov8s | Russian traffic sign images (20k train,4k valid) | imgsz=1280, epochs=25, batch=4 | mAP50=0.46, mAP50-95=0.35 |
| yolov8s | Traffic Signs Dataset in YOLO format (4 classes) | imgsz=1280, epochs=25, batch=4 | mAP50=0.99, mAP50-95=0.87 |
| yolov8s | Russian traffic sign images (179k,40 top classes) | imgsz=640, epochs=20, batch=64 | mAP50=0.66, mAP50-95=0.47 |
| yolov8m | Russian traffic sign images (179k,40 top classes) | imgsz=640, epochs=5, batch=32 | mAP50=0.67, mAP50-95=0.49 |
| yolov8s | Russian traffic sign images (179k,8 classes) | imgsz=640, epochs=5, batch=8, optimizer='AdamW' | mAP50=0.74, mAP50-95=0.52 |
| yolov8s | Russian traffic sign images (179k,8 classes) | imgsz=640, epochs=20, batch=8, optimizer='AdamW' + albumentations | mAP50=0.89, mAP50-95=0.65 |
| yolov8s | Russian traffic sign images (179k,8 classes) | imgsz=640, epochs=20, batch=8, optimizer='AdamW' + albumentations | mAP50=0.92, mAP50-95=0.68 |
| yolov8s | Russian traffic sign images (179k,8 classes) | imgsz=640, epochs=50, batch=8, optimizer='AdamW' + augmentations | mAP50=0.922, mAP50-95=0.686 |
| yolov8s | Russian traffic sign images (179k,29 classes) | imgsz=640, epochs=100, batch=8, optimizer='AdamW' + albumentations | mAP50=0.672, mAP50-95=0.62 |
| yolov8n | Russian traffic sign images (179k,29 classes) | imgsz=640, epochs=100, batch=8, optimizer='AdamW' + albumentations | mAP50=0.872, mAP50-95=0.614 |
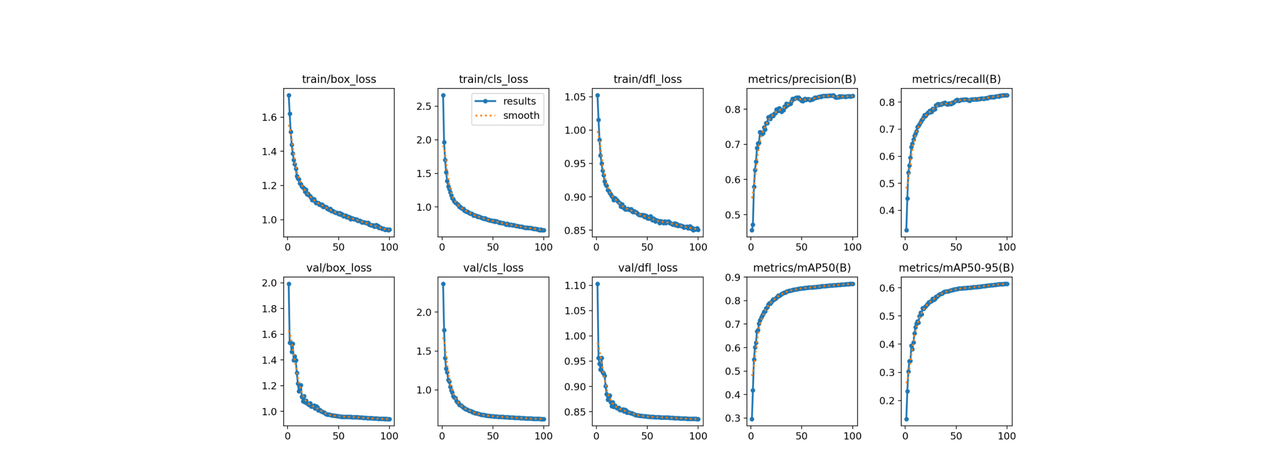
Для трекинга экспериментов использовался ClearML. Результаты обучения лучшей модели
SafeRotate, RandomBrightness, Blur, RandomCrop
Выбор модели обуславливался невысокой вычислительной сложностью модели и скоростью инференса модели, так как основные устройства для запуска помощника - портативные устройства (мобильный телефон, видеорегистратор) Для выбора модели мы протестировали скорость инференса двух моделей с наивысшими метриками для 29 классов.
| Название модели | Скорость инференса (onnx) одного кадра, мс |
|---|---|
| yolov8s | 0,77 |
| yolov8n | 0,31 |
В качестве скорости инференса используется среднее значение времени обнаружения знаков на изображении в разрешении 1280х720 на CPU. Скорость двух моделей позволяет получать предсказания даже на высокой скорости (на производительных портативных устройствах). Наиболее высокая метрика mAP50-95 у решения - Yolov8s
Основная метрика для выбора модели - mAP50-95 - так как она учитвает точность, пересечение по области (Iou),а диапазон 50-95 обеспечивает высокую точность детекции, что особенно важно при использовании модели в различных погодных и световых условиях.
Выбрали модель yolov8n, т. к. ее время инференса в 2 раза меньше, чем у yolov8s, но значение mAP50-95 всего на 0.06 меньше, чем у yolov8s. Также исползование менее требовательной к вычислительным ресурсам модели, позволяет значительно расширить список поддерживаемых устройств.
Решение верно детектирует знаки дорожного движения, скорость работы подходит для реализации приложений на портативных устройствах. Возможно улучшение решения путем увеличения количества эпох обучения и выбора модели большего размера.
- https://www.kaggle.com/datasets/watchman/rtsd-dataset/data
- https://www.kaggle.com/datasets/valentynsichkar/traffic-signs-dataset-in-yolo-format/data
conda env create -n RoadSignDetector -f environment.ymlconda activte RoadSignDetector
- загрузите веса модели
- положите загруженный файл в директорию
models
cd server && python main.pycd ..\app && python -m streamlit run .\app.py- Сервис доступен по адресу
http://localhost:8501
