Skip to content

shaazib-tanvir/repetition_code_simulation

Folders and files

NameName
Last commit message
Last commit date

Latest commit

 

History

2 Commits
 
 
 
 
 
 

Repository files navigation

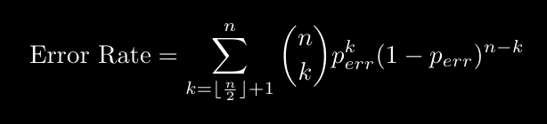
Repetition Code

A repetition code is a simple error-correcting code where the data is repeated multiple times for transmission in a noisy-channel.

About

Simulation of the error rate for a repetition-based error-correcting code

Topics

Resources

Stars

Watchers

Forks

Releases

No releases published

Packages

 
 
 

Contributors

Languages