Earthworm is a utility designed to analyze syntactically-valid Python scripts and offer suggestions for improving the program's functional decomposition. Earthworm identifies code fragments that serve a separate (algorithmic) purpose from their enclosing function(s), and attempts to create an entirely new function from them. The end result is a Python script where each function does exactly one task.
In general, this sort of formatting helps make programs easier to debug and organize, since each task is segmented in its own function. It also reduces the likelihood of unintended side-effects occurring when modifying parts of a program. This makes Earthworm especially useful for software development teams and also as a learning tool for students and professors.
The initial version of Earthworm was a command-line tool proposed, researched, implemented, and presented by Nupur Garg, a graduate student at California Polytechnic State University, San Luis Obispo.
You can find copies of both her Thesis and code repositories below:
https://digitalcommons.calpoly.edu/theses/1759/
https://github.com/gargn/thesis
This program, written in Python, attempts to rationalize Garg's work into a fully-implemented User Interface, ultimately designed to make Earthworm both easier to use and more understandable. It was designed by me (Nathan P. Ybanez) as a Senior Project for my undergraduate degree in Computer Science from Cal Poly SLO.
Earthworm provides the following features:
1. Simplistic UI with few menu buttons and plenty of icons - designed to be as user-friendly as possible
2. Syntax highlighting for opened files to make it easier to read text
3. Clear and easy-to-understand highlighting of suggested code fragments
4. Clear and concise descriptions of fixes for suggested code fragments
5. The ability to allow Earthworm to fix a given suggestion, with user direction
Figure 1: Earthworm GUI
TBD
Earthworm parses a given Python script and generates an Abstract Syntax Tree (AST), a tree-structured representation of the syntactic structure of the input source code.
Figure 2: AST for (x - 1) + 4
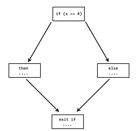
The AST is then used to generate a Control Flow Graph (CFG) for each individual function, a graph representation of all paths that might be taken throughout that function's execution. Each individual block of a CFG represents some portion of control flow in the function. For example, a Conditional (IF statement) may have a block for the guard, a block for the then portion, and a block for the else portion. The then and else blocks eventually rejoin at the exit block.
Figure 3: CFG for IF Statement
Within each of the individual blocks of the CFG, there may be other nested, intermediate CFGs. Earthworm attempts to analyze these sub-CFGs and determine if the code fragments within can be isolated. Earthworm saves the line numbers corresponding to the newly generated suggestion, as well as the variables that need to be passed in and returned in order to maintain the states of the remainder of the CFG (and thereby avoid altering the program's output).
When Analyzing a file in the Earthworm GUI, the command-line tool is invoked and the aforementioned steps are performed to produce a list of suggestions:
Figure 4: Analysis results
Afterward, boxes are drawn around the source code fragments corresponding to the line numbers within the suggestions returned by the command-line tool:
Figure 5: Highlighted suggestions
By clicking the ? buttons at the top-left corner of each suggestion, that suggestion can be expanded to view additional information, including the relevant lines of code and the reason(s) for the suggestion:
Figure 6: Expanded suggestion info
From here, the user has the option to allow Earthworm to Fix the suggestion:
Figure 7: Fix Suggestion Dialog
If executing the code within a given block would have side effects on the other blocks (for example in the case of a variable which is shared between multiple blocks), then Earthworm will create an intermediate value and return it back to the calling scope, as seen above. The tool suggests both the function and invocation code to be written, however this can be changed by the user at any time. The user is responsible for ensuring the written code is syntactically valid, however the code generated by Earthworm can be guaranteed to be valid as long as it isn't changed.
After accepting the changes, the suggested code is bundled into a new function and moved to the top of the program. The original suggestion code is replaced with a new statement calling the newly created function.
Figure 8: Fixed suggestion code and new function invocation








